首 页
优米官网首页登录入口
文联简介
章程介绍
组织机构
团体会员
文艺动态
优米体育足球
机关党建
优米app8.0
协会动态
yo优米mi
YO米直播世界杯
YO米直播世界杯
yo米直播足球
不忘初心、牢记使命
优米app下载ios
会员服务
yo米直播nba
首页
/
通知公告
/正文
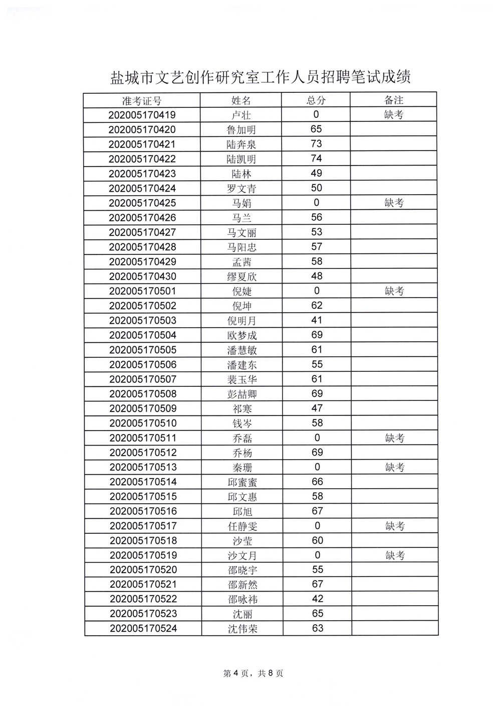
盐城市文艺创作研究室工作人员招聘笔试成绩公布
发布时间:2020-05-22作者:盐城文联 编审:盐城市文联 浏览量:
87
map